Wie planen wir die Versorgung für eine mehrtägige Tour ohne Resupply-Optionen? Welche Lebensmittel liefern viele Kalorien und wie organisieren wir den Müll? All diese Fragen haben wir uns zur Vorbereitung auf unser Abenteuer auf dem Arctic Circle Trail gestellt. Welche Gedanken wir uns gemacht haben und was wir konkret mitgenommen haben, erfährst du in diesem Beitrag.
Das Vorhaben
Ende August sind wir in Westgrönland den Arctic Circle Trail in einer ganz individuellen Version gelaufen. 11 Tage waren wir unterwegs, haben dabei 270 km zurückgelegt und über 12.000 Höhenmeter überwunden. Der ACT ist einer der remotesten Trails der Welt und infrastrukturell sehr stark eingeschränkt. Entsprechend entscheidend waren Vorbereitung und Ausrüstungswahl.
Hier gehts zur Grönland Packliste und zur Grönland Playlist auf YouTube.
Mit nur 6 Kilogramm waren unsere Packlisten recht leicht. Diese Idee wollten wir auf unsere Trekking-Nahrung übertragen. Der Geschmack war für uns zunächst zweitrangig. Wir brauchten ein gutes Konzept, das uns für 11 Tage ausreichend versorgt, dabei leicht bleibt und möglichst wenig Müll erzeugt.
Die arktische Tundra weist einige Besonderheiten auf. Es darf auf keinen Fall irgendetwas zurückgelassen werden, denn dort oben verrottet auf Grund der klimatischen Bedingungen nichts. Egal ob Kaffeesatz, Toilettenpapier oder organische Reste, alles muss wieder eingepackt und mitgenommen werden!



Unsere ersten Gedanken
Auf unseren Wanderungen nehmen wir immer Trekking-Nahrung mit, um möglichst flexibel und autark zu sein. Aber oftmals machen wir uns nicht so viele Gedanken dazu, denn meistens gibt es unterwegs genügend Optionen, Lebensmittel nachzukaufen oder in Hütten und Dörfern etwas zu essen. Wenn das nicht der Fall war, haben wir uns vorab Versorgungspakete auf den Trail geschickt. Resupply war für uns also kein neues Thema – aber noch nie zuvor mussten wir im Detail alles im Voraus durchdenken.
Wir benötigen insgesamt 10 x Frühstück, 11 x Snacks und 10 x Abendessen. Da es nicht möglich ist, frische Lebensmittel auf Grund von Gewicht, Haltbarkeit und Verpackung mitzunehmen, besteht unsere Auswahl ausschließlich aus Trockennahrung. Das Kalorienziel pro Tag war für Alex 3.000 und für mich 2.600 Kalorien. Uns war klar, dass wir damit auf Dauer in einem Kaloriendefizit landen würden. Bei nur 11 Tagen ist es für uns ein kalkulierbares Risiko und somit in Ordnung.
Die Idee war, jede Mahlzeit in Einzelportionen pro Tag aufzuteilen, um eine möglichst kontinuierliche Kalorienzufuhr zu gewährleisten. Dadurch konnten wir besser planen und die Portionen taggenau einpacken. Trotz der klaren Empfehlung auf der Homepage des ACT haben wir uns gegen „Notfall“-Nahrung entschieden. Für zwei zusätzliche Tage soll man vorbereitet sein, falls das Wetter nicht mitspielt und man irgendwo in der Wildnis festsitzt. Insgeheim dachten wir, dass wir nur 10 Tage für die gesamte Strecke benötigen würden. Und so gesehen, hätten wir ja sogar eine Tagesration mehr dabei. 😅
Für die Detailplanung hat Alex eine umfangreiche Excel-Tabelle erstellt, mit der wir jede Mahlzeit konkret erarbeitet haben. Viele Zutaten kaufen wir übrigens unverpackt. Alle anderen genannten Produkte sind unsere persönliche Auswahl und keine Werbung.
Frühstück
Das typische Müsli ist auch auf vielen anderen Touren im Rucksack dabei. Wir ergänzen unsere bewährte Mischung mit weiteren hochkalorischen Zutaten. Unser Müslimix besteht zum einen aus Fertigmischungen wie Basismüsli und Kokos-Hafer-Crunchy und zum anderen aus Trockenfrüchten, Körnern, Kokosraspeln und Samen. Der Körper kann übrigens geschrotete Leinsamen besser verwerten als ganze Samen, weswegen wir diese mörsern. Für den besonderen Kick mischen wir Proteinpulver mit Zimtgeschmack dazu.

Eine Tagesportion Müsli beinhaltet 780 Kalorien für Alex und knapp 670 Kalorien für mich. Mit diesem Zutaten-Mix erreichen wir etwa 440 kcal pro 100 Gramm. Das ist schon richtig gut für den Start in den Tag. Alle Einzelportionen wurden in Frühstücksbeutel abgepackt. Auf dem Trail haben wir die Tagesportion in unserem Becher aufbewahrt. Somit waren wir für spontane Pausen gut vorbereitet und konnten schnell darauf zugreifen. Obwohl es tagsüber oft sehr kalt war, haben wir das Müsli immer mit kaltem Wasser aufgegossen und kein Wasser aufgekocht. Das Müsli hat in jedem Falle seinen Job gemacht! Unkompliziert, sättigend und lecker. Was braucht man mehr auf dem Trail?


Snack
Üblicherweise nehmen wir verschiedene Riegel oder Nüsse mit. Diesmal wollten wir aber auf die Verpackungen verzichten und uns eine bunte Mischung zusammenstellen, um genug Abwechslung zu haben. Dazu haben wir die Riegel kleingeschnitten, mit Trockenobst und Nüssen als einzelne Tagesportionen verpackt und mit einem Knoten verschlossen. Auf dem Trail haben wir die Snackmischung in einen Zipperbeutel umgefüllt und in der Seitentasche des Rucksacks aufbewahrt. Somit konnten wir auch beim Laufen daraus naschen. 😋 Das war auch wirklich wichtig, da wir selten längere Pausen gemacht haben.

Insgeamt hatte jeder 11 Snack-Tüten dabei. Pro Tag 1.000 Kalorien für Alex und knapp 700 Kalorien für mich.
Abendessen
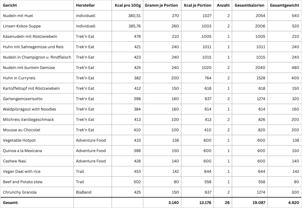
Für das Abendessen haben wir zwei verschiedene Ideen umgesetzt. Zum einen kaufen wir fertige Trekking-Nahrung und füllen diese in weniger voluminöse Gefrierbeutel um. Wir haben auf einen Mix verschiedener Marken und Geschmäcker gesetzt. Den Verzicht auf verhältnismäßig schwere Schokoladentafeln o.Ä. haben wir durch verschiedene Dessert-Fertiggerichte ausgeglichen. Eine Portion Fertigessen hatte zwischen 400 und 1.000 Kalorien. Um das Essen mit mehr Kalorien zu pimpen, ist zusätzlich je ein Löffel Butterpulver darin gelandet.

Auf die Gefrierbeutel haben wir die Kalorien und benötigten Milliliter geschrieben, aber nicht, was genau drin ist. Das war jeden Abend eine kleine Überraschung. Und selbst nach dem Essen wussten wir manchmal nicht, was wir gerade gegessen haben. 🤪 Das Trockenessen haben wir auf unsere beiden Essenstüten aufgeteilt und mit Wasser aufgegossen. Je nach Bedarf gab es pro Abend zwei, manchmal drei Beutel. Am schwierigsten war das Öffnen der Tüten – die Knoten waren sehr fest gezogen. Die Beutel haben wir dann aufgeschnitten oder -gerissen, aber ehrlich gesagt war es etwas fummelig, das Essen vernünftig auf unsere beiden Tüten aufzuteilen. Hier gibt es noch Verbesserungspotenzial.
Neben den Fertigprodukten waren wir (mehr oder weniger) kreativ und haben auch zwei eigene Gerichte mit jeweils 1.000 Kalorien vorbereitet: Nudeln mit Huel Thai Curry und Sonnenblumenkernen sowie eine Linsen-Kokos-Suppe. Die größte Herausforderung lag darin, Zutaten zu finden, die schnellkochend sind. Nach langem Suchen haben wir in unseren Augen die perfekten Nudeln gefunden: 3 Glocken Genuss Pur Spiral Nudeln. Mit nur 4-5 Minuten Kochzeit sind diese super geeignet. Die Nudelgröße passt perfekt auf den Löffel und durch die Spiralform bleiben Soßen wunderbar hängen. Unfassbar, wie sehr wir aus einer Nudel eine Philosophie machen können. 😂 Die Linsen-Suppe ist eher ein Eintopf geworden, war aber sehr reichhaltig und lecker. Leider war die Kochzeit länger als erwartet, was am Ende aber egal war.
Das Abendessen war die einzige Mahlzeit, bei der die Kalorien je nach Auswahl etwas variiert haben. Manchmal ist die zweite oder dritte Runde sogar wegen Müdigkeit ausgefallen.


Alles rund ums Kochen
Neben den eigentlichen Mahlzeiten gibt es einige Dinge, auf die wir nicht verzichten würden.
Getränke
Für uns gibt es nichts Schöneres als morgens mit einem heißen Kaffee in der Hand im Schlafsack zu sitzen und erstmal wach zu werden. Am liebsten natürlich mit Filterkaffee. Aber um auch hier auf unnötigen Müll zu verzichten, haben wir uns eine individuelle Mischung aus löslichem Cappuccino und Espressopulver zusammengestellt. Für den Abend hatten wir Tee und für den Tag ein paar Päckchen Holy Hydration.
Gewürze
Wir hatten nur Salz, Gemüsebrühe und Öl dabei. Salz ist immer wichtig, falls wir mal dehydriert sind und den Elektrolytehaushalt wieder auffüllen müssen. Ein kleines Wundermittel am Abend ist unsere Gemüsebrühe. Die ist super lecker und wärmt den Körper sofort von innen. Wir gehen nie ohne los. Das Öl dient in erster Linie als zusätzlicher Geschmacksträger und Kalorienlieferant. Das kann eigentlich überall rein.
Kochutensilien
Das hatten wir dabei:
- 900 ml Toaks Titantopf
- Soto Amicus Brenner (gut geeignet für windige Touren)
- zwei Gaskatuschen mit 450 g (vor Ort gekauft)
- Titan Windschutz für den Gaskocher (nicht genutzt, weil nicht für große Kartuschen geeignet)
- Zwei verschließbare und hitzebeständige Becher für Musli, Kaffee und Tee (Verpackung vom Keksteig zum Löffeln)
- zwei Sea-to-summit Löffel (mit langem Stiel)
- zwei leere verschließbare Trekking-Nahrung-Verpackungen (die von Adventure Food haben eine gute Innenbeschichtung und sind leicht zu reinigen)
Wasserfilter und -aufbewahrung
Obwohl viele sagen, dass das Wasser auf dem ACT so klar ist, dass man keinen Wasserfilter benötigt, hatten wir zwei dabei. Wir gehen niemals ohne Filter auf eine Trekking-Tour. Das wäre uns zu unsicher. Jeder hatte
- einen 0,5 l (bzw. 0,6 l) Katadyn BeeFree Filter
- eine PET-Flasche mit 1,2 Liter
- eine 1 Liter Platypus Softbottle
dabei. Letztere hat sich hervorragend als Wärmflasche im Schlafsack bewiesen. Damit lag unser Fassungsvermögen bei insgesamt 5,5 Litern, was absolut ausreichend war. Das Wasser war meistens sehr klar, aber immer eisig kalt. Nur ganz selten war es bräunlich gefärbt. Auf dem Trail gibt es so viele Seen, dass wir uns keine Sorge um die Wasserversorgung machen mussten. Das einzige Problem war manchmal das sumpfige Ufer, wodurch wir nur schwer direkt ans Wasser gekommen sind. Geklappt hat es am Ende immer irgendwie. Aber insgesamt haben wir viel zu wenig getrunken, was definitiv an der Kälte lag.



Das sind unsere Kalorien-Booster
Dass Nüsse einen besonders hohen Kaloriengehalt haben, war uns bereits klar. Aber dass auch Sonnenblumenkerne bei über 600 Kalorien liegen, hat uns überrascht. Genauo wie die Kokoschips und Kososraspel. Beide Zutaten sind ein echter Gamechanger und sind deswegen nicht nur im Müsli gelandet, sondern auch in unseren herzhaften Gerichten.
Unsere Top Kalorien-Lieferanten sind Olivenöl und das Trek’n Eat Butterpulver. Beide Zutaten ergänzen fertige Gerichte. Mit dem Butterpulver konnten wir den Kaloriengehalt pro Abendessen um 60 kcal steigern.
Alle Angaben sind Durchschnittswerte und variieren je nach Hersteller.

Verpackung & Müll
Unser gesamtes Essen sollte ein kleines Packmaß haben und dabei wenig Müll erzeugen. Der nicht vermeidbare Müll soll dabei noch möglichst sauber und trocken sein.
Wir haben die gesamte Nahrung einen Monat vor der Tour gepackt und bis zum Start kühl gelagert. Natürlich ist das Umfüllen fertiger Trekking-Nahrung und Riegel keine perfekte Lösung in Sachen Nachhaltigkeit.
Für uns war es dennoch der richtige Kompromiss. Alle Originalverpackungen zusammen haben knapp 600 Gramm gewogen und hätten viel mehr Volumen im Rucksack eingenommen. Der sollte aber möglichst klein bleiben.
Wir haben verschiedene Frühstücksbeutel, Gefrierbeutel und Zipperbeutel durchprobiert: Für das Müsli genügen dünnere Frühstücksbeutel. Die Snacks und das Abendessen sind in einem größeren und festeren Gefrierbeutel gelandet. Insgesamt wogen alle leeren Tüten etwa 150 Gramm.
Um das Essen im Rucksack zu organisieren, nutzen wir die Hyperlite Mountain Gear Pods. Jeder hatte zwei Stück dabei, die randvoll gepackt waren. Am Ende landeten 5,8 Kilogramm Essen in meinem und 6,7 Kilogramm in Alex‘ Rucksack.
Unseren Müll transportieren wir in Packbeuten mit Rolltopverschluss aus DCF. Das Toilettenpapier haben wir nochmal extra in Hygienebeuteln aufbewahrt.
Nach 11 Tagen Selbstversorgung in der arktischen Wildnis ist die Menge an Müll wirklich sehr gering. Wir sind total zufrieden. Das Konzept ist für uns aufgegangen.



So hat sich unser Foodkonzept auf dem Trail bewährt
Unser Konzept hat auf dem Arctic Circle Trail genau das getan, was es sollte. Es war leicht und effektiv, und wir haben wenig Müll produziert. Trotz des Kaloriendefizits waren wir ausreichend versorgt und hatten keine energielosen Phasen. Würden wir wieder so planen? Auf jeden Fall, aber mit ein paar kleinen Anpassungen.
Die Vorportionierung von Frühstück und Snack war sehr praktisch, weil alles sofort griffbereit war. Bei unseren Pausen mussten wir nicht extra unsere Foodpacks aus dem Rucksack rauskramen und konnten die Zeit effektiv zur Erholung nutzen.
Obwohl unser Fokus bei der Planung auf dem Gewicht lag, haben wir es geschafft, einen leckeren Mix zusammenzustellen. Klar, nach 11 Tagen konnten wir kein Müsli mehr sehen, aber die Snacks und das Abendessen waren so abwechlungsreich, dass wir uns immer wieder darauf gefreut haben. Vor allem die Desserts waren ein kleines Highlight für uns.
Auf dieser Tour war für uns vieles anders – auch unsere Essenszeiten. Gefrühstückt haben wir oft erst am Nachmittag, das Abendessen gab es nie vor 22 Uhr – oft deutlich später. Deshalb würden wir auf Fertig-Trekking-Nahrung nie verzichten. Sie ist schnell und ohne viel Aufwand zubereitet und gelingt selbst dann, wenn wir bereits im warmen Schlafsack liegen.
Wir waren sehr zufrieden mit dem Gasverbrauch. Unsere zweite Kartusche mussten wir erst am letzten Abend anbrechen. Die Temperaturen lagen morgens und abends übrigens knapp über 0 Grad. Heißes Wasser haben wir gebraucht für:
- ein Kaffee am Morgen (450 ml), manchmal auch zwei
- 2–3 Abendessen
- Tee am Abend (450 ml)
- zwei Füllungen für die Platypus Softbottle als Wärmflaschen
Für eine 11-tägige Tour ohne Resupply hat sich unser Konzept bewährt! Wenn ihr Fragen dazu habt oder auch so eine Trekking-Tour mal gerne im Hohen Norden machen wollt, schreibt’s gerne in die Kommentare. Wir freuen uns auf eure Anregung!
